Hip-Hop.Ru - Центральный сайт о Хип Хоп культуре в Рунете

Разговоры
  Hip-Hop.Ru Форум Комьюнити Сообщения за день Баня Поиск
Что вы будите сдавать кроме двух обязательных экзаменов?
Иностранный язык 42 8.88%
Литература 31 6.55%
Физика 125 26.43%
Химия 12 2.54%
Биология 23 4.86%
Геограия 25 5.29%
История 34 7.19%
Обществознание 123 26.00%
Информатика и ИКТ 58 12.26%
Результаты подробней
Всего проголосовало: 473 пользователей. Вы еще не голосовали в этом опросе
в Бане
Сообщения: 27,653
Регистрация: 05.06.2008
Откуда: под андервотом
Старый пост, нажмите что бы добавить к себе блог 5 июня 2011, 21:05
Домашняя страница Отправить сообщение через twitter для Проект Разгром
  #1626 (ПС)
я не так немного решал. хотя формулу забыл про переход к основанию =Р

щя нафоткаю как я решал =Р

offline
Ответить с цитированием
Аватар для Quotha
Сообщения: 2,981
Регистрация: 11.01.2009
Откуда: Йошкар-Ола
Старый пост, нажмите что бы добавить к себе блог 5 июня 2011, 21:08
Домашняя страница ВКонтакте Отправить сообщение через twitter для Quotha
  #1627 (ПС)
возможно рельный

 
Фотографии:
(140.2 Кбайт / 94 просм.)
 
offline
Ответить с цитированием
нормальный пользователь
Аватар для Carl Blank
Сообщения: 575
Регистрация: 06.06.2007
Откуда: Москва
Старый пост, нажмите что бы добавить к себе блог 5 июня 2011, 21:08
  #1628 (ПС)
-Цитата от smaki Посмотреть сообщение
ц3



может и ошибся где

Добавлено через 2 минуты 25 секунд
ц5 кстати вполне не сложное
у меня вроде также)

как ц5 делать? никогда не мог понять его

offline
Ответить с цитированием
¡¡¡
Аватар для smaki
Сообщения: 3,875
Регистрация: 09.02.2009
Откуда: обнинск
Старый пост, нажмите что бы добавить к себе блог 5 июня 2011, 21:08
LastFm
  #1629 (ПС)
-Цитата от всем привет Посмотреть сообщение
-Цитата от smaki Посмотреть сообщение
ц3



может и ошибся где

Добавлено через 2 минуты 25 секунд
ц5 кстати вполне не сложное
переходы не равносильные например при основанию х^2 когда там -1 исключается, а в исходное неравенство подходит. плюс сокарщение двое когда, там модули должны быть у х например
точняк

offline
Ответить с цитированием
зашел поздороваться
Сообщения: 295
Регистрация: 27.05.2008
Старый пост, нажмите что бы добавить к себе блог 5 июня 2011, 21:14
Отправить сообщение через twitter для всем привет
  #1630 (ПС)
блеать я чета разволновался и забыл все нахуй(
плюс инфа 81 вроде не слишком расстроила, но не порадовала нихуя
да и все знакомые первые экзамены как-то посдавали ниже ожидаемого. ебаный стыд в общем

offline
Ответить с цитированием
в Бане
Сообщения: 27,653
Регистрация: 05.06.2008
Откуда: под андервотом
Старый пост, нажмите что бы добавить к себе блог 5 июня 2011, 21:15
Домашняя страница Отправить сообщение через twitter для Проект Разгром
  #1631 (ПС)



offline
Ответить с цитированием
¡¡¡
Аватар для smaki
Сообщения: 3,875
Регистрация: 09.02.2009
Откуда: обнинск
Старый пост, нажмите что бы добавить к себе блог 5 июня 2011, 21:16
LastFm
  #1632 (ПС)
че то я туплю.не могу вспомнить уравнение косательной к окружности какое

offline
Ответить с цитированием
в Бане
Сообщения: 27,653
Регистрация: 05.06.2008
Откуда: под андервотом
Старый пост, нажмите что бы добавить к себе блог 5 июня 2011, 21:17
Домашняя страница Отправить сообщение через twitter для Проект Разгром
  #1633 (ПС)
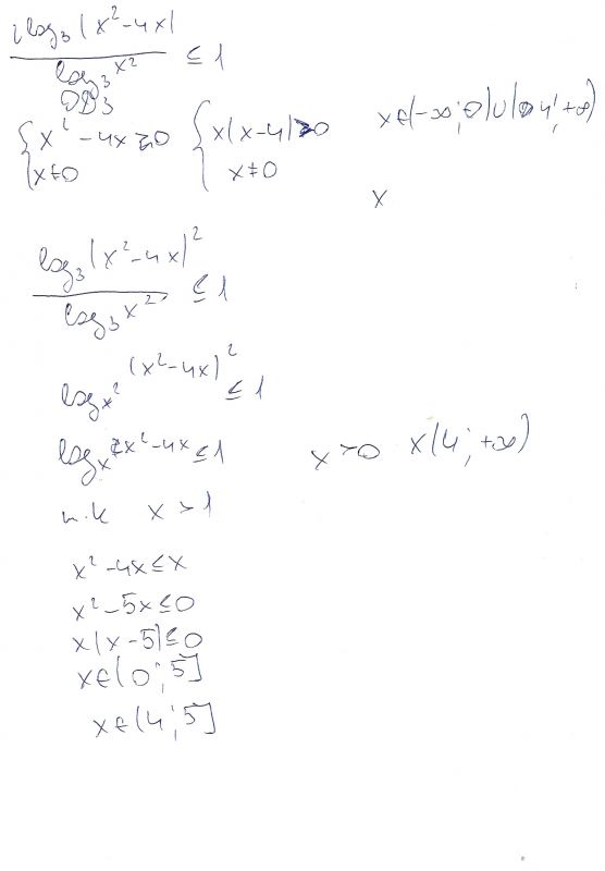
вот решение этого C3 на абитуриенте

ОДЗ.
x^2!=0;
x^2!=1
x^2-4x>0

=>
x in (-oo;-1)uuu(-1;0)uuu(4;+oo)

перепишем как:
2log_(x^2) (x^2-4x)<=1

1) x in (-1;0)
x^2-4x>= |x| = -x
x^2-3x>=0
x in (-oo;0]uuu[3;+oo) -
x in (-1;0)

2) x in (-oo;-1)uuu(4;+oo)
x^2-4x<=|x|
2а) x in (-oo;-1)
x^2--3x <=0 => x in [0;3] - нет решений
2б) x in (4;+oo)
x^2-5x<=0 => x in [0;5]

Ответ:x in (-1;0)uuu (4;5]

offline
Ответить с цитированием
Old School
Аватар для out of space
Сообщения: 4,532
Регистрация: 25.11.2008
Откуда: space
Старый пост, нажмите что бы добавить к себе блог 5 июня 2011, 21:18
  #1634 (ПС)
почему х^2 не равен нулю-то?

offline
Ответить с цитированием
в Бане
Сообщения: 27,653
Регистрация: 05.06.2008
Откуда: под андервотом
Старый пост, нажмите что бы добавить к себе блог 5 июня 2011, 21:18
Домашняя страница Отправить сообщение через twitter для Проект Разгром
  #1635 (ПС)
пиздец. ваще хуй пойму

Добавлено через 1 минуту 4 секунды
-Цитата от Кто-то из ниоткуда Посмотреть сообщение
почему х^2 не равен нулю-то?
потому что логарифм при икс в квадрате равном нулю НЕ МОЖЕТ СУЩЕСТВОВАТЬ

тогда log 0
_______3

offline
Ответить с цитированием
Old School
Аватар для out of space
Сообщения: 4,532
Регистрация: 25.11.2008
Откуда: space
Старый пост, нажмите что бы добавить к себе блог 5 июня 2011, 21:20
  #1636 (ПС)
я про тетрадку.
там написано это

offline
Ответить с цитированием
зашел поздороваться
Сообщения: 295
Регистрация: 27.05.2008
Старый пост, нажмите что бы добавить к себе блог 5 июня 2011, 21:20
Отправить сообщение через twitter для всем привет
  #1637 (ПС)
я там выше проебался про -1. она по ОДЗ же не входит

offline
Ответить с цитированием
Old School
Аватар для out of space
Сообщения: 4,532
Регистрация: 25.11.2008
Откуда: space
Старый пост, нажмите что бы добавить к себе блог 5 июня 2011, 21:21
  #1638 (ПС)
у меня что-то не то вообще

Добавлено через 4 минуты 51 секунду
ну да, знаменатель не равен нулю это да.
тоже можно в одз записать.
одз такое у меня:
(-8;0) u (4;+8)
(-8; 0) u (0; +8)
ну и х^2 не равен нулю

1) дальше единичку перенес
2) домножил
3) списал верх и низ соответственно "=0" и "неравное 0"
4) теперь хз, 2 впереди логарифма меня смущает

offline
Ответить с цитированием
новый пользователь
Аватар для Double41
Сообщения: 337
Регистрация: 09.06.2008
Откуда: Киров
Старый пост, нажмите что бы добавить к себе блог 5 июня 2011, 21:26
  #1639 (ПС)
ну чё пацанва)
всем удачи завтра
желаю лёгких вариантов!
ни пуха ни пера блеать!

offline
Ответить с цитированием
в Бане
Сообщения: 27,653
Регистрация: 05.06.2008
Откуда: под андервотом
Старый пост, нажмите что бы добавить к себе блог 5 июня 2011, 21:26
Домашняя страница Отправить сообщение через twitter для Проект Разгром
  #1640 (ПС)
блять. не заметил решение (-1:0). лох

Добавлено через 2 минуты 15 секунд
-Цитата от Кто-то из ниоткуда Посмотреть сообщение
я про тетрадку.
там написано это
так я тебе тоже самое и говорил

offline
Ответить с цитированием
Аватар для Quotha
Сообщения: 2,981
Регистрация: 11.01.2009
Откуда: Йошкар-Ола
Старый пост, нажмите что бы добавить к себе блог 5 июня 2011, 21:34
Домашняя страница ВКонтакте Отправить сообщение через twitter для Quotha
  #1641 (ПС)
-Цитата от Double41 Посмотреть сообщение
ну чё пацанва)
всем удачи завтра
желаю лёгких вариантов!
ни пуха ни пера блеать!
к чёрту

offline
Ответить с цитированием
активный пользователь
Аватар для белые руки
Сообщения: 1,789
Регистрация: 28.12.2010
Откуда: Мирноатомск
Старый пост, нажмите что бы добавить к себе блог 5 июня 2011, 21:40
  #1642 (ПС)
сколько раз в день вы мандражируете

offline
Ответить с цитированием
миру мир
Аватар для MaximuM.
Сообщения: 3,762
Регистрация: 28.12.2010
Откуда: Муром-Москва
Старый пост, нажмите что бы добавить к себе блог 5 июня 2011, 21:43
ВКонтакте
  #1643 (ПС)
Не сцать пацаны!!!
Да пусть удача будет с нами завтра!!!

offline
Ответить с цитированием
¡¡¡
Аватар для smaki
Сообщения: 3,875
Регистрация: 09.02.2009
Откуда: обнинск
Старый пост, нажмите что бы добавить к себе блог 5 июня 2011, 21:47
LastFm
  #1644 (ПС)
в ц2 у меня 10 получилось

offline
Ответить с цитированием
нормальный пользователь
Аватар для ПростоТру хД
Сообщения: 836
Регистрация: 07.06.2009
Старый пост, нажмите что бы добавить к себе блог 5 июня 2011, 21:49
  #1645 (ПС)
в ц3 получилось
(4;5]
ц 5 простое
но заморачиваться сейчас не буду,если только с утра что то похожее убдет,да и то вряд ли)

вы кстати этот вариант разбираете потому что якобы он реальный?

offline
Ответить с цитированием
Творить добро :)
Аватар для Безысходность
Сообщения: 1,200
Регистрация: 27.01.2011
Старый пост, нажмите что бы добавить к себе блог 5 июня 2011, 21:52
  #1646 (ПС)
всё неверно
Безнадёжные школьники

offline
Ответить с цитированием
.........................
Аватар для Adept
Сообщения: 436
Регистрация: 22.09.2008
Старый пост, нажмите что бы добавить к себе блог 5 июня 2011, 21:54
ВКонтакте
  #1647 (ПС)
ну бля надеюсь абитуриент поможет ! купил часть б)
сука ненадо справки

offline
Ответить с цитированием
в Бане
Сообщения: 27,653
Регистрация: 05.06.2008
Откуда: под андервотом
Старый пост, нажмите что бы добавить к себе блог 5 июня 2011, 21:55
Домашняя страница Отправить сообщение через twitter для Проект Разгром
  #1648 (ПС)
-Цитата от smaki Посмотреть сообщение
в ц2 у меня 10 получилось
как?
-Цитата от ПростоТру хД Посмотреть сообщение
в ц3 получилось
(4;5]
ц 5 простое
но заморачиваться сейчас не буду,если только с утра что то похожее убдет,да и то вряд ли)

вы кстати этот вариант разбираете потому что якобы он реальный?
в с3 (-1;0)U(4;5]
-Цитата от П.В Посмотреть сообщение
всё неверно
Безнадёжные школьники
я твой рот ебал

offline
Ответить с цитированием
¡¡¡
Аватар для smaki
Сообщения: 3,875
Регистрация: 09.02.2009
Откуда: обнинск
Старый пост, нажмите что бы добавить к себе блог 5 июня 2011, 22:01
LastFm
  #1649 (ПС)
-Цитата от Проект Разгром Посмотреть сообщение
-Цитата от smaki Посмотреть сообщение
в ц2 у меня 10 получилось
как?
там треугольник АС1Д1 получается прямоугольным. тупо по теореме пифагора находишь АС1

offline
Ответить с цитированием
в Бане
Сообщения: 27,653
Регистрация: 05.06.2008
Откуда: под андервотом
Старый пост, нажмите что бы добавить к себе блог 5 июня 2011, 22:05
Домашняя страница Отправить сообщение через twitter для Проект Разгром
  #1650 (ПС)
-Цитата от smaki Посмотреть сообщение
-Цитата от Проект Разгром Посмотреть сообщение
-Цитата от smaki Посмотреть сообщение
в ц2 у меня 10 получилось
как?
там треугольник АС1Д1 получается прямоугольным. тупо по теореме пифагора находишь АС1
так высота шести угольника известна разве?

offline
Ответить с цитированием
Ответ
Здесь присутствуют: 1 (пользователей - 0 , гостей - 1)
 
Похожие темы на: ЕГЭ 2011 (обсуждение и результаты)
Тема Автор Раздел Ответов Последнее сообщение
Хип-хоп исследование. Результаты Конфета Разговоры 349 31 мая 2011
Расскажи, что ты хочешь сделать за год! А в 2011 ты зайдешь и сравнишь свой пост и результаты КЕРЛИНГ Разговоры 63 24 мая 2011
Обсуждение Kaspersky Internet Security 2011 The Drot Компьютеры и Интернет 34 4 апреля 2011
РЕЗУЛЬТАТЫ ТРЕТЬЕГО РАУНДА. Счёт. Обсуждение! Dime BattleZone (Обсуждение и Проведение) 239 5 декабря 2002
Результаты поиска Ветал Разговоры 10 5 марта 2002
Часовой пояс GMT +3, время: 01:36.